Empat Pilar – Konfigurasi Rangkaian Transistor Paling Lengkap. Pelajari konfigurasi rangkaian transistor yang optimal untuk proyek Kalian. Artikel ini membahas berbagai tipe, kegunaan, dan cara mengoptimalkannya untuk aplikasi yang beragam.
Transistor merupakan komponen yang sangat penting dalam dunia elektronik. Dalam artikel ini, kita akan membahas tentang Konfigurasi Rangkaian Transistor yang efisien dan bagaimana memilih konfigurasi yang tepat untuk proyek Kalian.
Selain itu, Kalian akan menemukan berbagai macam tipe konfigurasi yang umum digunakan, serta cara mengoptimalkannya untuk aplikasi yang beragam. Mari kita mulai!
Ada tiga konfigurasi dasar rangkaian transistor yang umum digunakan dalam dunia elektronik, yaitu Common Base (CB), Common Emitter (CE), dan Common Collector (CC). Mari kita bahas lebih lanjut tentang ketiganya.
Apa Itu Transistor
Definisi transistor adalah sebuah komponen elektronik yang umum digunakan pada berbagai rangkaian untuk berbagai tujuan, seperti sebagai saklar, penguat sinyal, osilator, modulator, dan lain sebagainya.
Hampir semua perangkat elektronik menggunakan transistor dalam rangkaian, termasuk televisi, komputer, dan audio.
Transistor dibuat dari bahan semi konduktor seperti silikon, galium arsenide, atau germanium yang berfungsi sebagai elektroda aktif.
Transistor memiliki tiga terminal atau pin, yaitu emitor, basis, dan kolektor. Arus kecil yang mengalir ke salah satu terminal digunakan untuk mengendalikan arus besar pada terminal lainnya.
Transistor memiliki dua sambungan PN, yaitu sambungan kolektor-basis untuk bias mundur dan sambungan basis-emitor untuk bias maju.
Asal-usul nama transistor berasal dari penggabungan dua kata, yaitu “transfer” dan “resistor” menjadi “transfer-resistor”. Jika kedua kata tersebut disingkat, maka akan menjadi “transistor”.
Dengan demikian, dari namanya, dapat disimpulkan bahwa transistor melakukan transfer resistansi secara elektronik. Konsep ini akan dibahas lebih lanjut di bagian selanjutnya.
Fungsi Transistor
Seperti yang sudah dijelaskan diatas, Fungsi transistor yakni dapat digunakan sebagai saklar, penguat, osilator, modulator dan sebagainya.
Berikut adalah penjelasan lebih detail mengenai fungsi transistor:
1. Transistor sebagai saklar
Transistor dapat digunakan sebagai saklar solid state. Ketika transistor berada di daerah saturasi, maka transistor berperan sebagai saklar tertutup dan ketika transistor berada di daerah cut off, maka transistor berperan sebagai saklar terbuka. Transistor beroperasi sebagai sakelar solid state Single Pole Single Throw (SPST).
2. Transistor sebagai penguat (amplifier)
Transistor berperan sebagai penguat dengan meningkatkan kekuatan sinyal yang lemah.
Tegangan bias DC yang diterapkan pada sambungan basis emitor membuat transistor tetap dalam kondisi bias maju, terlepas dari polaritas sinyal.
3. Transistor sebagai osilator
Transistor dapat dioperasikan sebagai osilator untuk menghasilkan osilasi tak teredam terus menerus dari frekuensi yang diinginkan jika tangki (atau berosilasi) dan rangkaian feedback terhubung dengan benar.
Semua osilator dengan nama yang berbeda memiliki fungsi yang sama yaitu menghasilkan output yang tidak teredam terus menerus.
Jenis Konfigurasi Rangkaian Transistor
Seperti telah dijelaskan sebelumnya, untuk memenuhi kebutuhan jalur input dan output, salah satu terminal transistor harus dibuat sebagai ground, sehingga dapat digunakan untuk pasangan input dan output.
Terdapat 3 macam Konfigurasi Rangkaian Transistor yang berkaitan dengan pembumian salah satu terminal transistor, yaitu:
1. Common Base
Dalam konfigurasi rangkaian ini, transistor akan di-bias atau dihubungkan ke ground pada basisnya sehingga dapat digunakan sebagai input dan output.
Sinyal input dimasukkan melalui terminal basis dan emitor, sementara sinyal output diambil dari terminal kolektor dan basis.
Parameter tegangan dan arus input pada jenis rangkaian ini adalah VEB dan IE, sedangkan untuk bagian outputnya adalah VCB dan IC.
Untuk mengoperasikan transistor, arus input yang mengalir ke terminal emitor harus lebih besar daripada arus basis dan arus kolektor. Oleh karena itu, arus kolektor akan lebih kecil dari arus input emitor.
Penguatan arus pada jenis konfigurasi ini biasanya sama atau kurang dari satu. Sinyal input dan output berada dalam satu fasa yang sama.
Model rangkaian konfigurasi seperti ini disebut sebagai sistem rangkaian transistor penguat non-inverting.
Konstruksi rangkaian konfigurasi ini sulit untuk dibuat karena memiliki nilai gain tegangan yang tinggi.
Karakteristik input pada konfigurasi ini seperti karakteristik dioda foto yang diterangi cahaya, sedangkan karakteristik outputnya seperti dioda bias maju. Rangkaian transistor ini memiliki impedansi keluaran yang tinggi dan impedansi masukan yang rendah.
Pada karakteristik penguatan, jenis rangkaian ini memiliki nilai resistansi yang tinggi dengan perbandingan resistansi output terhadap input yang tinggi. Nilai penguatan untuk jenis rangkaian common base dirumuskan seperti di bawah ini:

Sementara penguatan arus dihitung dengan rumus :

Rangkaian common base biasanya dipakai pada sistem penguat satu tingkat, seperti pada rangkaian pre amp microphone atau pada penguat RF depan. Bentuk rangkian transistor common base diperlihatkan pada gambar di bawah ini :

2. Common Collector
Dalam konfigurasi transistor ini, terminal kolektor digunakan sebagai jalur untuk sinyal input dan output.
Konfigurasi ini juga dikenal sebagai konfigurasi emitter follower karena tegangan emitor mengikuti tegangan basis.
Konfigurasi ini sering digunakan sebagai penguat pada tingkat buffer dan juga pada sirkuit pencocokan impedansi karena memiliki impedansi masukan yang tinggi.
Sinyal input dimasukkan antara terminal basis-kolektor sedangkan output diambil dari terminal emitor-kolektor.
Parameter input pada konfigurasi ini adalah VBC dan IB, sedangkan parameter outputnya adalah VEC dan IE.
Konfigurasi common collector memiliki impedansi input yang tinggi dan impedansi output yang rendah.
Sinyal input dan output berada dalam satu fase. Arus emitor sama dengan jumlah arus kolektor dan arus basis. Besar penguatan arus untuk rangkaian transistor common collector adalah:

Rangkaian transistor dengan kolektor dihubungkan ke ground ditunjukkan pada gambar rangkaian di bawah ini.
Konfigurasi common collector ini termasuk ke dalam jenis rangkaian penguat non inverting.
Penguatan tegangan untuk rangkaian ini kurang dari satu, namun memiliki penguatan arus yang besar karena resistor beban di rangkaian ini menerima arus dari kolektor dan basis.

3. Common Emitter
Dalam konfigurasi ini, kami menggunakan terminal emitter sebagai jalur ground untuk input dan output.
Konfigurasi common emitter termasuk dalam sistem rangkaian penguat inverting atau pembalik fasa. Input diterapkan antara terminal basis-emitter sementara output diambil antara terminal kolektor dan emitter.
Parameter inputnya adalah V BE dan I B, sementara parameter outputnya adalah V CE dan I C.
Jenis konfigurasi rangkaian ini banyak digunakan dalam sirkuit penguat transistor. Arus emitter sama dengan jumlah arus basis kecil dan arus kolektor besar.
Rumusnya adalah I E = I C + I B.
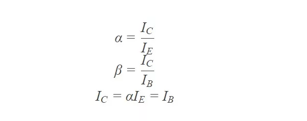
Kita tahu bahwa perbandingan antara arus kolektor dan arus emitter menghasilkan penguatan arus alfa dalam konfigurasi Common Base.
Demikian pula, rasio antara arus kolektor dan arus basis menghasilkan penguatan arus beta dalam konfigurasi rangkaian ini.

Bentuk rangkaian konfigurasi transistor ini paling banyak digunakan di antara ketiga sistem rangkaian transistor. Ini memiliki nilai impedansi input dan output sedang.
Sistem rangkaian ini memiliki penguatan arus dan tegangan menengah. Tetapi sinyal output memiliki pergeseran fasa 180°, yaitu input dan output mempunyai fasa yang berlawanan.
Berikut ini contoh bentuk konfigurasi transistor common emitter:

Penutup
Demikianlah pembahasan mengenai konfigurasi rangkaian transistor paling lengkap yang telah kita ulas.
Melalui penjelasan ini, diharapkan pemahaman kita tentang berbagai jenis transistor, cara kerja, serta konfigurasinya menjadi lebih baik.
Tidak hanya itu, semoga informasi ini dapat membantu Kalian dalam memahami dan menerapkan rangkaian transistor pada berbagai aplikasi elektronika.
Terus eksplorasi pengetahuan Kalian tentang komponen elektronik dan jadilah inovator yang mampu menciptakan solusi-solusi teknologi yang bermanfaat bagi kehidupan.
Itu saja yang bisa empatpilar.com uraiakan mengenai Konfigurasi Rangkaian Transistor. Selamat mencoba dan sukses selalu!



